TRUE publication
Assessment of real-world vehicle emissions in São Paulo
The TRUE Initiative completed its first remote sensing campaign in Brazil, collecting more than 320,000 measurements across the São Paulo Metropolitan Area in spring 2024, to provide a comprehensive picture of vehicle emissions across the region.
Working closely with the State Environmental Agency of São Paulo (Companhia Ambiental do Estado de São Paulo; CETESB) to conduct the roadside testing, researchers observed that:
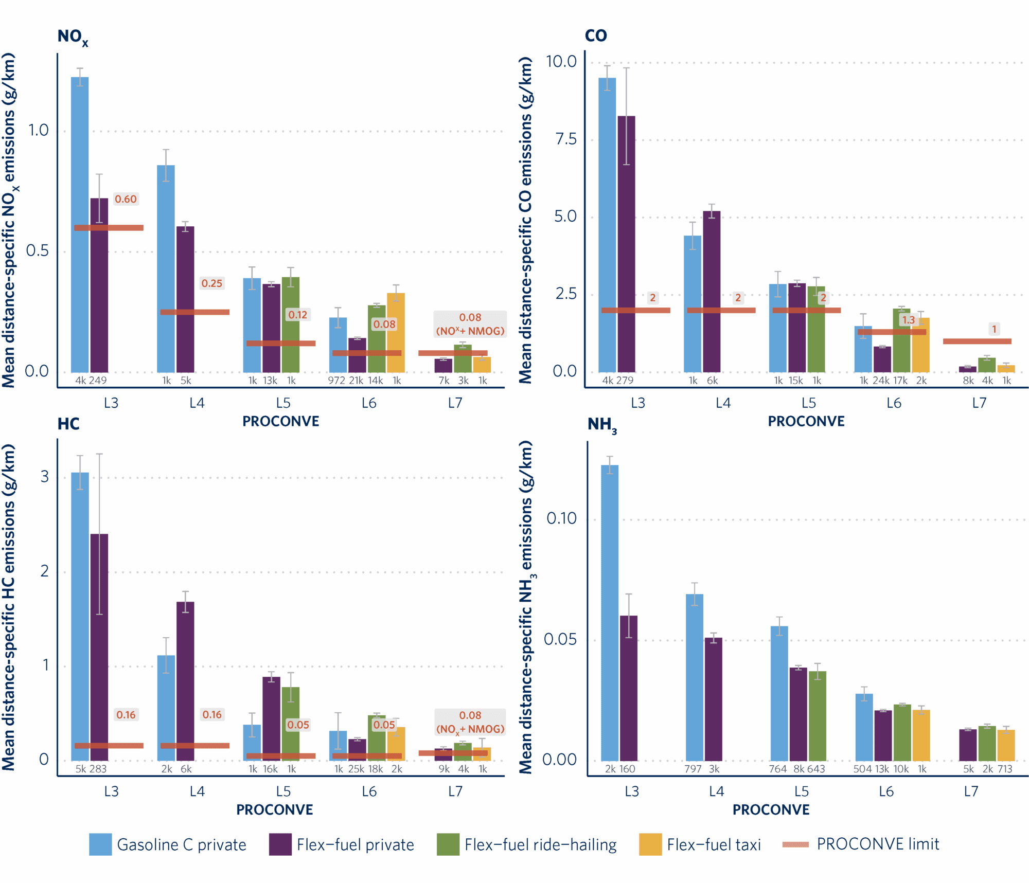
- Passenger cars certified to the L3 PROCONVE emissions standard using gasoline C and flex-fuel exhibited the highest real-world emissions exceeding limits by up to two times for NOx, four times for CO, and 19 times for HC. These vehicle groups also had one of the highest shares of vehicles with detectable evaporative emissions, an important precursor to O3. While making up only 5.5% of the fleet sample, replacing these models would have outsized benefits on fleetwide emissions reductions.
- Trucks certified to the latest and most stringent P8 standards still exhibited real-world emissions over 3 times the NOx limit and 4 times the PM limit. Drawing from the lessons from the Euro emission standards, widening the in-service conformity testing conditions to include a lower power threshold and cold start would achieve expected reductions in truck emissions.
- Flex fuel taxis and ride-hailing vehicles emitted twice as much NOx, CO, and NH3 as private cars. Mandatory inspection of these vehicles can identify the reasons for rapid deterioration and an accelerated transition to electric vehicles would be impactful in reducing emissions.
- Urban cargo trucks, most of which are certified to the P7 standard and largely responsible for last-mile deliveries, measured over two times the PROCONVE limits. Electrification of this vehicle group with purchase incentives or tax exemptions, and an eventual restriction of diesel trucks in the city would limit urban residents’ exposure to high levels of vehicle emissions and their associated health impacts.
Figure. Mean distance-specific NOx, CO, HC and NH3 emissions from passenger cars
Note: Whiskers represent the 95% confidence interval of the mean. Numbers below bars indicate number of measurements. Only results with over 100 measurements are presented.
Within the current policy framework, car owners in Brazil are disincentivized from replacing their old cars and discouraged from purchasing zero-emission battery electric vehicles (BEVs). The Green Mobility and Innovation (MOVER) Program, launched in 2024, offers reduced taxes exclusive to conventional hybrids or plug-in hybrids until 2026, but not BEVs. A forward-looking policy measure would provide incentives for the replacement of old internal combustion engine vehicles with BEVs, rather than hybrids, while fostering the expansion of a domestic market for electric vehicles. This would also generate other benefits, such as job creation.
